Finalisierung Mess-System
Leistungsvereinbarung
Inbetriebnahme Platine
Für das Messsystem wurde eine neue Platine entwickelt, die zunächst überprüft werden muss. Auf die Platine muss das Raspberry Pico und die drei HATs von MCC angeschlossen werden. Zusätzlich muss die Platine über ein Netzteil mit Spannung versorgt werden. Ziel der Inbetriebnahme ist es, die Funktionalität der gelöteten Platine zu überprüfen. Hierfür werden Sensoren verschiedenen Typs an die Platine angeschlossen, um die Qualität der Messdaten zu überprüfen.
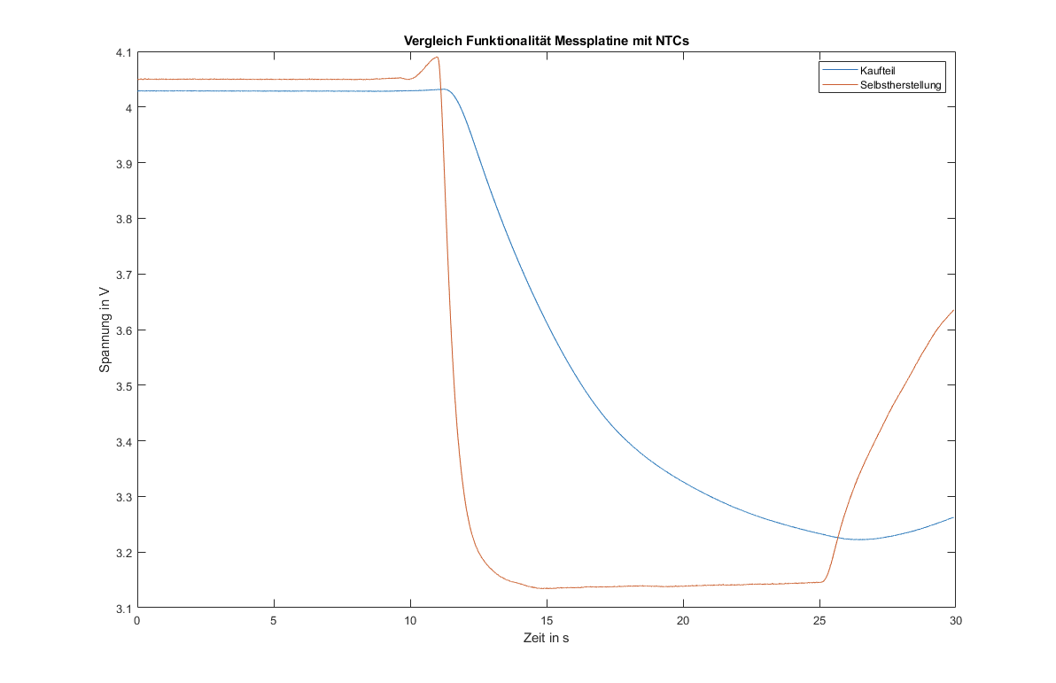
Zunächst werden die Signale von NTC-Sensoren überprüft. Für eine Referenz des selbstgefertigten NTCs wird zusätzlich ein kauffertiger NTC verwendet.
Die beiden NTCs wurden zeitgleich von kaltem Wasser in heißes Wasser gehalten und anschließend in Raumtemperatur gehalten. Die Messwerte werden mit einer Abtastrate von fs = 1000 erfasst. Die 30-sekündige Messung zeigt auf den ersten Blick keine unerwarteten Frequenzen innerhalb der Signale. Weiter ist zu sehen, dass der selbstgefertigte NTC eine deutlich schnellere Reaktion auf die Temperaturänderung zeigt als das Kaufteil. Die Signale sind beide sauber und die Funktionalität der Platine bezüglich der NTC-Messung ist bestätigt. Das hier verwendete MCC_0 ist ebenfalls korrekt funktionsfähig.
Dieses Vorgehen muss für Drucksensoren, den Infrarotsensor, die Waage und das Flowmeter wiederholt werden. Bei der Vorbereitung der MCCs für die weiteren Sensoren ist ein Problem aufgefallen. Die HATs werden übereinander gesteckt und mit den Befehlen ‚daqhats_read_eeproms‘ werden diese neu initialisiert. Es werden alle MCCs erkannt, jedoch ist das MCC_2 (fürs Flowmeter) nicht ansprechbar. Hier besteht bereits der Kontakt mit dem technischen Support von Measuring Computing.
Da die auf dem Raspberry Pico vorhanden Skripte nur für 3 HATs programmiert sind, muss ein neues Skript für die Testzwecke programmiert werden.
Testskript: testing_hats.py /home/pi/daqhats/examples/python/mcc128
Optimierung GUI und Python Codes
Innerhalb der Programmierung besteht Potential zur Optimierung. Die bereits erläuterte Problematik der fest definierten Anzahl in einem Skript, kann behoben werden. Hierfür muss die Anzahl der MCCs automatisch erkannt werden.
Allgemein können die Schritte in den Skripten zusammengefasst werden, so dass die Skripte kürzer sind. Optimierungen in der Umsetzung von Befehlen bei der Datenweiterverarbeitung sind vorhanden.
Bei der Datenverarbeitung der Messdaten ist aufgefallen, dass in der gespeicherten csv-Datei 40 Spalten ausgegeben werden. Die Anzahl der Spalten ist nachvollziehbar und muss untersucht werden.
Die GUI funktioniert, kann jedoch ebenfalls optimiert werden.
Inbetriebnahme des nE61 Adapters
Der ursprünglich verwendete Kunststoffadapter für die nE61 Brühgruppen-Maschinen, hat sich nicht etabliert. Es wird eine neue Konstruktion ausgelegt und gefertigt.
Die neue Konstruktion muss vollständig miteinander montiert werden. Die mobile Brühgruppenerweiterung wird von vier Beinen gehalten. Aufgrund eines Denkfehlers muss ein Bein entfernt werden, um den Siebträger reindrehen zu können. Es wird eine Bodenplatte benötigt, damit die Konstruktion steif bleibt und weiterhin die Stabilität bieten kann.
Die AVS-Römer Einsätze für das Anbringen von Rohrstücken müssen abgedichtet werden. Die Elemente, welche dauerhaft in dem Adapter bleiben, werden mit Klebstoff befestigt.
Weiter muss die Sensorik an den Brühgruppenadapter eingesetzt werden. Es wird ein NTCSensor von AVS-Römer verwendet. Dieser ist mit zwei ELSA Anschlüssen ausgestattet und wird durch Rohrstücke in die Erweiterung adaptiert.
Die ganze Konstruktion muss an einer Maschine getestet werden. Aktuell sind zwei Siebeinsätze für die Dalla Corte vorhanden. Eins davon kann durch Verkleinerung des Umfangs an der Gaggia getestet werden.
Kalibrierung der Sensoren (am Pumpenprüfstand)
Für einen zuverlässigen Einsatz des Messsystems, müssen die Sensoren kalibriert werden. Mithilfe des Pumpenprüfstands wird die Kalibrierung der Temperatur- und Drucksensoren durchgeführt.
Da hier ein Raspberry Pi und ein Raspberry Pico gleichzeitig verwendet werden, muss abgeklärt werden, ob ein SSH und serielle Schnittstelle parallel aktiv laufen kann.
Durch den Kalibriervorgang am Prüfstand werden Kalibrierkurven für die Sensoren erstellt. Diese werden in den Code der GUI implementiert.
